High Recovery Caesium Concentrate Produced from Latest Metallurgical Testwork at Shaakichiuwaanaan
Initial testwork supports pathway to potential valuable caesium by/co-product alongside lithium and tantalum at the CV13 Pegmatite
MONTREAL and SYDNEY, Oct. 9, 2025 /PRNewswire/ --
Highlights
- Marketable commercial grade pollucite concentrate successfully producedfrom the Vega Caesium Zone at the CV13 Pegmatite via bench-scale X-Ray Transmission (XRT) ore sorting testwork:
- 11.9% Cs2O at 88% global recovery, which reflects the weighted-average of two combined size fractions that individually graded:
- 20.0% Cs2O(12.5 to 25 mm fraction); and
- 11.5% Cs2O(+25 mm fraction).
- Pollucite concentrate grading>8-10% Cs2O is typically considered a highly marketable and favorable feed for downstream chemical conversion.
- XRT ore sorting is a conventional, well-understood, dry, mechanical, and commercial processapplied to relatively coarsely crushed material across the mining industry globally, and is thepreferred method for pollucite recovery:
- As no water or chemical reagents are required, no tailings are produced – only coarse, dry, reject material.
- Reject material from the XRT ore sorter at CV13 also contains significant lithium (spodumene) and tantalum (tantalite), which may subsequently be recoveredusing standard processing methods.
- The Rigel and Vega Zones at Shaakichiuwaanaan's CV13 Deposit combined rank as the largest known pollucite-hosted caesium pegmatite Mineral Resource1in the world, comprising:
- Indicated:693,000 t at 4.40% Cs2O, 2.12% Li2O, and 283 ppm Ta2O5.
- Inferred:1,698,000 t at 2.40% Cs2O, 1.81% Li2O, and 245 ppm Ta2O5.
- The Company has commenced evaluating options to advance and incorporate the caesium opportunity at Shaakichiuwaanaan as a potential future by/co-product value stream.
_____________________________________ 1Cut-off grade is variable depending on the mining method and pegmatite (0.40% Li2O open-pit, 0.60% Li2O underground CV5, and 0.70% Li2O underground CV13). A grade constraint of 0.50% Cs2O was used to model the Rigel and Vega caesium zones. The Effective Date of the MRE (announced July 20, 2025) is June 20, 2025 (through drill hole CV24-787). Mineral Resources are not Mineral or Ore Reserves as they do not have demonstrated economic viability. |
Darren L. Smith, Executive Vice President Exploration, comments: "These initial testwork results confirm that Shaakichiuwaanaan's CV13 Deposit has the potential to deliver highly marketable commercial grade pollucite concentrates using a relatively simple and cost-effective recovery method – XRT ore sorting. This is an encouraging outcome for this stage of testwork, with strong recoveries and upgrading. Importantly, the reject material from the XRT circuit remains well sized for subsequent spodumene recovery via conventional DMS and tantalite recovery using gravity and magnetic methods, creating a clear pathway to potentially unlocking multiple value streams from the Project."
"A follow-up testwork program is being planned which will focus on optimization of the XRT circuit for pollucite recovery as well as subsequent recovery of spodumene and tantalite. The Company is actively exploring approaches and opportunities to unlocking this globally leading caesium opportunity at Shaakichiuwaanaan,"added Mr. Smith.
PMET Resources Inc. (the"Company"or"PMET")(TSX: PMET) (ASX: PMT) (OTCQX: PMETF) (FSE: R9GA) is pleased to announce that it has successfully produced marketable commercial grade pollucite concentrates from an initial bench-scale testwork program undertaken on representative material from the Vega Caesium Zone at the CV13 Pegmatite. The CV13 Pegmatite is situated ~2.5 km along strike of the CV5 Pegmatite and forms part of the Company's 100%-owned Shaakichiuwaanaan Project (the"Property"or"Project"), located in the Eeyou Istchee James Bay region of Quebec.
The Shaakichiuwaanaan Mineral Resource2, comprised of the CV5 and CV13 Li-Cs-Ta ("LCT") pegmatites, is situated approximately 13 km south of the regional and all‑weather Trans-Taiga Road and powerline infrastructure corridor, and is accessible year-round by all-season road.
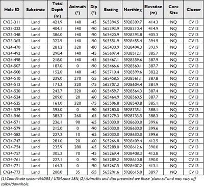
Further to news releases datedApril 9, June 10, andJuly 20, 2025 – which outlined the pollucite discovery (Figure 4) and subsequent Mineral Resource at the Rigel and Vega Caesium Zones – the Company has recently completed a preliminary XRT ore sorting test program on an approximate ~250 kg drill core composite sample (1/2 core NQ) from the Vega Zone (Table 1 and Table 2).
An XRT ore sorter classifies material by analyzing the sample's atomic density, prompting a blast of compressed air to separate the high-density pieces of rock (e.g., pollucite) to the concentrate fraction while the remaining lower-density pieces pass through to the reject fraction (Figure 2). XRT ore sorting is a commonly used method for producing pollucite concentrates from pegmatite. It is asimple, well-understood, dry, mechanical, and commercial processthat requires only a coarse crush of the feed material as preparation and therefore, no high-cost grinding, water, or chemicals are required. Further, as no water or chemicals are used, no tailings are produced – only coarse, dry reject material that, in the case of CV13, is also amenable to further spodumene and tantalite recovery downstream.
__________________________ 2Shaakichiuwaanaan's Consolidated MRE (CV5 + CV13 pegmatites), which includes the Rigel and Vega caesium zones, totals 108.0 Mt at 1.40% Li2O, 0.11% Cs2O, 166 ppm Ta2O5, and 66 ppm Ga, Indicated, and 33.4 Mt at 1.33% Li2O, 0.21% Cs2O, 155 ppm Ta2O5, and 65 ppm Ga, Inferred, and is reported at a cut-off grade of 0.40% Li2O (open-pit), 0.60% Li2O (underground CV5), and 0.70% Li2O (underground CV13), with an Effective Date of June 20, 2025 (through drill hole CV24-787). Mineral Resources are not Mineral or Ore Reserves as they do not have demonstrated economic viability. |
For the test program, the composite core sample – with an ~2.5% Cs2O representative head grade – was crushed and separated into three size fractions (<12.5 mm, 12.5 to 25 mm, and>25 mm). The two larger fractions were processed independently through the ore sorter, producing two pollucite concentrates and corresponding reject fractions (Figure 1 and Figure 3). Both of these fractions successfully produced marketable>10% Cs2O pollucite concentrates grading20.0% Cs2O(12.5 to 25 mm fraction) and11.5% Cs2O(+25 mm fraction) and, when combined, result in ahighly marketable commercial grade pollucite concentrate (11.9% Cs2O) at high overall recovery (88%).
Additionally, the reject fractions contain significant lithium (spodumene) and, as it remains appropriately sized, may be subsequently recovered using standard dense media separation ("DMS"). Significant tantalum (tantalite) is also present in the rejects and may typically be recovered using simple gravity and magnetic methods.
The pollucite recovery testwork programs are being carried out at TOMRA Mining's Test Center in Wedel, Germany (XRT ore sorting) and at SGS Canada's Lakefield, ON, Canada, facility (material preparation, assay, and spodumene-tantalite recovery). The programs are a collaborative effort involving TOMRA Mining, SGS Canada, Primero Group Americas and associated Qualified Person(s), as well as an independent expert in pollucite processing.
The Rigel and Vega Zones at Shaakichiuwaanaan's CV13 Deposit combined rank as the largest known pollucite-hosted caesium pegmatite Mineral Resource3in the world, comprising:
- Indicated:693,000 t at 4.40% Cs2O, 2.12% Li2O, and 283 ppm Ta2O5.
- Inferred:1,698,000 t at 2.40% Cs2O, 1.81% Li2O, and 245 ppm Ta2O5.
Such deposits of pollucite are very rare and typically range in scale from<10 kt to 350 kt, highlighting the magnitude and potential of the caesium discovery at Shaakichiuwaanaan. XRT ore sorting is considered an optimal recovery method for pollucite from pegmatite, requiring only a coarse crush, with the reject material remaining coarse enough for subsequent DMS recovery of spodumene. This is commercially appealing as the pollucite XRT ore sorting recovery circuit may be placed as a bolt-on ahead of the spodumene DMS recovery circuit, without complicating the overall flowsheet.
_____________________________________ 3Cut-off grade is variable depending on the mining method and pegmatite (0.40% Li2O open-pit, 0.60% Li2O underground CV5, and 0.70% Li2O underground CV13). A grade constraint of 0.50% Cs2O was used to model the Rigel and Vega caesium zones. The Effective Date of the MRE (announced July 20, 2025) is June 20, 2025 (through drill hole CV24-787). Mineral Resources are not Mineral or Ore Reserves as they do not have demonstrated economic viability. |
Next Steps
For next phase of testwork, the Company will collect a larger diameter drill core composite sample to explore coarser and finer size fractions using the ore sorter to further optimize the proposed processing pathway and build on these highly encouraging initial results. As part of this work, the software program used to direct the ore sorter will be refined to take into account the specific nature of the Shaakichiuwaanaan CV13 pollucite pegmatite material, with the intent to further improve separation efficiency. Additionally, a program is currently underway to recover the spodumene and tantalite present in the ore sorter reject fractions using simple gravity (DMS, tables) and magnetic methods.
The Company has also commenced evaluating options to advance and incorporate the caesium opportunity at Rigel and Vega as a potential future by/co-product value stream for the overall Shaakichiuwaanaan Project. As part of this initiative, the Company has begun engaging with several potential end-users and supply chain participants to further develop the economic opportunity in the caesium product(s) anticipated to be derived from the Project.
The lithium-only Feasibility Study based on the CV5 Mineral Resource component of the overall Shaakichiuwaanaan MRE is scheduled for completion in the coming weeks and remains the near-term focus for the Company. The economic potential in critical metal co/by-products will be assessed separately from the lithium-only Feasibility Study, with various earlier stage studies concurrently underway to better evaluate the opportunities present for the future inclusion of caesium, and tantalum specifically.
About Caesium
Mineraldeposits of pollucite-hosted caesium are very rareglobally and represent the most fractionated component of LCT pegmatite systems, which are effectively the only known primary economic source of caesium globally. Economicdeposits of caesium pegmatite are typically on a smaller scale of<10 kt to 350 ktin size compared to deposits of lithium pegmatite that typically range in the millions of tonnes in size (<10 Mt and rarely over 100 Mt).
Globally, it is estimated only three (3) primary caesium mines have historically operated and all were pollucite hosted – Tanco (Canada), Bikita (Zimbabwe), and Sinclair (Australia). At Bikita and Sinclair, the in-situ pollucite resources are reported to have been exhausted in 2018 and 2019, respectively. Tanco is understood to be approaching the end of its mine-life with extraction from existing tailings piles and/or mine remnants being explored.
The market for caesium compounds and metals is largely opaque because it is not publicly traded like copper or gold, but rather through bi-lateral and term contracts. Further, product prices vary depending on their contained caesium form, purity and end-product use. Caesium carbonate (Cs2CO3≥99%) currently trades at approximately US$155/kg (excluding VAT, Price Sourcing –Shanghai Metal Markets).
Caesium is currently supply constrained, with only limited sources supplying the global market. A discovery of this size, grade, and scale has the potential to be a primary source of supply for global markets. This includes existing applications for caesium in oil/gas drilling, medical imaging and now new and potentially growing applications in the terrestrial solar panel industry. Caesium has been found to play a vital role in significantly improving next generation solar panel efficiency, stability, and life span through the application of perovskite crystal structures.
Qualified/Competent Person
The information in this news release that relates to exploration results for the Shaakichiuwaanaan Property is based on, and fairly represents, information compiled by Mr. Darren L. Smith, M.Sc., P.Geo., who is a Qualified Person as defined byNational Instrument 43-101 – Standards of Disclosure for Mineral Projects, and member in good standing with theOrdre des Géologues du Québec(Geologist Permit number 01968), and with the Association of Professional Engineers and Geoscientists of Alberta (member number 87868). Mr. Smith has reviewed and approved the technical information in this news release.
Mr. Smith is an Executive and Vice President of Exploration for PMET Resources Inc. and holds common shares, Restricted Share Units (RSUs), and Performance Share Units (PSUs) in the Company.
Mr. Smith has sufficient experience, which is relevant to the style of mineralization, type of deposit under consideration, and to the activities being undertaken to qualify as a Competent Person as described by the Australasian Code for Reporting of Exploration Results, Mineral Resources and Ore Reserves (the JORC Code). Mr. Smith consents to the inclusion in this news release of the matters based on his information in the form and context in which it appears.
About PMET Resources Inc.
PMET Resources Inc. is a pegmatite critical mineral exploration and development company focused on advancing its district-scale 100%-owned Shaakichiuwaanaan Property located in the Eeyou Istchee James Bay region of Quebec, Canada, which is accessible year-round by all-season road and proximal to regional powerline infrastructure. The Project hosts a Consolidated Mineral Resource4, which includes the Rigel and Vega caesium zones, totalling 108.0 Mt at 1.40% Li2O, 0.11% Cs2O, 166 ppm Ta2O5, and 66 ppm Ga, Indicated, and 33.4 Mt at 1.33% Li2O, 0.21% Cs2O, 155 ppm Ta2O5, and 65 ppm Ga, Inferred, and ranks as the largest5lithium pegmatite resource in the Americas, and in the top ten globally. Additionally, the Project hosts the world's largest pollucite-hosted caesium pegmatite Mineral Resource at the Rigel and Vega zones with 0.69 Mt at 4.40% Cs2O, Indicated, and 1.70 Mt at 2.40% Cs2O, Inferred
For further information, please contact us atinfo@pmet.caor by calling +1 (604) 279-8709, or visitwww.pmet.ca. Please also refer to the Company's continuous disclosure filings, available under its profile atwww.sedarplus.caandwww.asx.com.au, for available exploration data.
This news release has been approved by,
"KEN BRINSDEN"
Kenneth Brinsden, President, CEO,& Managing Director
Disclaimer for Forward-Looking Information
This news release contains"forward-looking statements"and"forward-looking information"within the meaning of applicable securities laws.
All statements, other than statements of present or historical facts, are forward-looking statements. Forward-looking statements involve known and unknown risks, uncertainties and assumptions and accordingly, actual results could differ materially from those expressed or implied in such statements. You are hence cautioned not to place undue reliance on forward-looking statements. Forward-looking statements are typically identified by words such as"plan","development","growth","continued","intentions","expectations","emerging","evolving","strategy","opportunities","anticipated","trends","potential","outlook","ability","additional","on track","prospects","viability","estimated","reaches","enhancing","strengthen","target","believes","next steps"or variations of such words and phrases or statements that certain actions, events or results"may","could","would","might"or"will"be taken, occur or be achieved.
Forward-looking statements include, but are not limited to, statements concerning the follow-up testwork program, the potential presence of lithium (spodumene) and tantalum (tantalite) in the rejects, the value of the caesium opportunity, the efforts to advance and incorporate the caesium opportunity at Rigel and Vega as a potential future by/co-product value stream for the overall Project, the studies currently under way, and the market for caesium.
______________________________________ 4The Consolidated MRE cut-off grade is variable depending on the mining method and pegmatite (0.40% Li2O open-pit, 0.60% Li2O underground CV5, and 0.70% Li2O underground CV13). A grade constraint of 0.50% Cs2O was used to model the Rigel and Vega caesium zones, which are entirely within the CV13 Pegmatite's open-pit mining shape. The Effective Date of the MREs is June 20, 2025 (through drill hole CV24-787). Mineral Resources are not Mineral or Ore Reserves as they do not have demonstrated economic viability. |
5Determination based on Mineral Resource data, sourced through July 11, 2025, from corporate disclosure. |
Forward-looking statements are based upon certain assumptions and other important factors that, if untrue, could cause actual results to be materially different from future results expressed or implied by such statements. There can be no assurance that forward-looking statements will prove to be accurate. Key assumptions upon which the Company's forward-looking information is based include, without limitation, the market for caesium, that proposed exploration work on the Property will continue as expected, the accuracy of reserve and resource estimates, the classification of resources between inferred and the assumptions on which the reserve and resource estimates are based, long-term demand for lithium (spodumene), tantalum (tantalite), and caesium (pollucite) supply, and that exploration and development results continue to support management's current plans for Property development.
Forward-looking statements are also subject to risks and uncertainties facing the Company's business, any of which could have a material adverse effect on the Company's business, financial condition, results of operations and growth prospects. Readers should consider reviewing the detailed risk discussion in the Company's most recent Annual Information Form filed on SEDAR+, for a fuller understanding of the risks and uncertainties that affect the Company's business and operations.
Although the Company believes its expectations are based upon reasonable assumptions and has attempted to identify important factors that could cause actual actions, events or results to differ materially from those described in forward-looking statements, there may be other factors that cause actions, events or results not to be as anticipated, estimated or intended. There can be no assurance that forward-looking information will prove to be accurate. If any of the risks or uncertainties mentioned above, which are not exhaustive, materialize, actual results may vary materially from those anticipated in the forward-looking statements.
The forward-looking statements contained herein are made only as of the date hereof. The Company disclaims any intention or obligation to update or revise any forward-looking statements, whether as a result of new information, future events or otherwise, except to the extent required by applicable law. The Company qualifies all of its forward-looking statements by these cautionary statements.
Competent Person Statement (ASX Listing Rule 5.23) for Shaakichiuwaanaan MRE
The mineral resource estimate in this release was reported by the Company in accordance with ASX Listing Rule 5.8 on July 21, 2025. The Company confirms that, as of the date of this news release, it is not aware of any new information or data verified by the competent person that materially affects the information included in the announcement and that all material assumptions and technical parameters underpinning the estimates in the announcement continue to apply and have not materially changed. The Company confirms that, as at the date of this announcement, the form and context in which the competent person's findings are presented have not been materially modified from the original market announcement.
Appendix 1 – JORC Code 2012 Table 1 (ASX Listing Rule 5.8.2)
The information in the JORC Code 2012 Table 1 below relates only to the metallurgical results being reported in this announcement. For the JORC Code 2012 Table 1 reporting of Section 1 – Sampling Techniques and Data and Section 2 – Reporting of Exploration Results for the drill holes listed in Table 1 and Table 2 above, please refer to the Company's announcement datedApril 9, 2025. The Company considers that the JORC Code 2012 Table 1 information relating to the drill holes listed in Table 1 and Table 2 is not material to the metallurgical test results being reported in this announcement given that it has previously been reported (as referenced above) and relates only to the core samples from which the composite sample, the subject of the metallurgical testwork, were formed.
Section 1 – Sampling Techniques and Data
Criteria | JORC Code explanation | Commentary |
Sampling techniques |
- Nature and quality of sampling (eg cut channels, random chips, or specific specialized industry standard measurement tools appropriate to the minerals under investigation, such as down hole gamma sondes, or handheld XRF instruments, etc). These examples should not be taken as limiting the broad meaning of sampling.
- Include reference to measures taken to ensure sample representivity and the appropriate calibration of any measurement tools or systems used.
- Aspects of the determination of mineralization that are Material to the Public Report.
- In cases where'industry standard'work has been done this would be relatively simple (eg'reverse circulation drilling was used to obtain 1 m samples from which 3 kg was pulverized to produce a 30 g charge for fire assay'). In other cases more explanation may be required, such as where there is coarse gold that has inherent sampling problems. Unusual commodities or mineralization types (eg submarine nodules) may warrant disclosure of detailed information.
|
- Half-core NQ size drill core was collected from the Vega Zone (CV13 Pegmatite) and composited to use as feed to the XRT ore sorting test program. A grade approximating the head-grade for the Vega Zone was targeted to maximized representativeness.
- The assay results and the JORC Table 1 commentary for the half-core NQ size drill core listed in Table 1 and Table 2, and composited for the purposes of the metallurgical results reported in this announcement, were first announced to ASX on April 9, 2025.
|
Drilling techniques |
- Drill type (eg core, reverse circulation, open-hole hammer, rotary air blast, auger, Bangka, sonic, etc) and details (eg core diameter, triple or standard tube, depth of diamond tails, face-sampling bit or other type, whether core is oriented and if so, by what method, etc).
|
- N/A. No drill results reported.
|
Drill sample recovery |
- Method of recording and assessing core and chip sample recoveries and results assessed.
- Measures taken to maximize sample recovery and ensure representative nature of the samples.
- Whether a relationship exists between sample recovery and grade and whether sample bias may have occurred due to preferential loss/gain of fine/coarse material.
|
- N/A. No drill results reported.
|
Logging |
- Whether core and chip samples have been geologically and geotechnically logged to a level of detail to support appropriate Mineral Resource estimation, mining studies and metallurgical studies.
- Whether logging is qualitative or quantitative in nature. Core (or costean, channel, etc) photography.
- The total length and percentage of the relevant intersections logged.
|
- N/A. No drill results reported.
|
Sub-sampling techniques and sample preparation |
- If core, whether cut or sawn and whether quarter, half or all core taken.
- If non-core, whether riffled, tube sampled, rotary split, etc and whether sampled wet or dry.
- For all sample types, the nature, quality and appropriateness of the sample preparation technique.
- Quality control procedures adopted for all sub-sampling stages to maximize representivity of samples.
- Measures taken to ensure that the sampling is representative of the in situ material collected, including for instance results for field duplicate/second-half sampling.
- Whether sample sizes are appropriate to the grain size of the material being sampled.
|
- Half-core NQ size drill core was collected from the Vega Zone (CV13 Pegmatite) and composited to use as feed to the XRT ore sorting test program.
- Sample(s) were prepared for testwork and analysis by SGS Canada Inc. being crushed and fractioned to appropriate size for ore sorter feed.
|
Quality of assay data and laboratory tests |
- The nature, quality and appropriateness of the assaying and laboratory procedures used and whether the technique is considered partial or total.
- For geophysical tools, spectrometers, handheld XRF instruments, etc, the parameters used in determining the analysis including instrument make and model, reading times, calibrations factors applied and their derivation, etc.
- Nature of quality control procedures adopted (eg standards, blanks, duplicates, external laboratory checks) and whether acceptable levels of accuracy (ie lack of bias) and precision have been established.
|
- Half-core NQ size drill core was collected from the Vega Zone (CV13 Pegmatite) and composited to use as feed to the XRT ore sorting test program.
- Pollucite concentrates were assayed by SGS Canada Inc for Cs and whole rock by borate fusion XRF, as well as multi-element by sodium peroxide fusion with ICP-AES / ICP-MS.
- Pollucite testwork methods are considered appropriate for this stage of evaluation.
|
Verification of sampling and assaying |
- The verification of significant intersections by either independent or alternative company personnel.
- The use of twinned holes.
- Documentation of primary data, data entry procedures, data verification, data storage (physical and electronic) protocols.
- Discuss any adjustment to assay data.
|
- N/A. No drill results reported.
|
Location of data points |
- Accuracy and quality of surveys used to locate drill holes (collar and down-hole surveys), trenches, mine workings and other locations used in Mineral Resource estimation.
- Specification of the grid system used.
- Quality and adequacy of topographic control.
|
- N/A. No drill results reported.
|
Data spacing and distribution |
- Data spacing for reporting of Exploration Results.
- Whether the data spacing and distribution is sufficient to establish the degree of geological and grade continuity appropriate for the Mineral Resource and Ore Reserve estimation procedure(s) and classifications applied.
- Whether sample compositing has been applied.
|
- Samples selected for the pollucite testwork were of composited drill core (half-core) from the CV13 Pegmatite representing anticipated early mine-life material.
|
Orientation of data in relation to geological structure |
- Whether the orientation of sampling achieves unbiased sampling of possible structures and the extent to which this is known, considering the deposit type.
- If the relationship between the drilling orientation and the orientation of key mineralized structures is considered to have introduced a sampling bias, this should be assessed and reported if material.
|
- N/A. No drill results reported.
|
Sample security |
- The measures taken to ensure sample security.
|
- The sample for pollucite testwork remained under the custody of TOMRA Systems or SGS Canada as they completed the testwork and geochemical analysis.
|
Audits or reviews |
- The results of any audits or reviews of sampling techniques and data.
|
- A review of the sample procedures for the Company's drill programs has been reviewed by several Qualified/Competent Persons through multiple NI 43-101 technical reports completed for the Company and deemed adequate and acceptable to industry best practices. The most recent Technical Report includes a review of sampling techniques and data through 2024 (drill hole CV23-787) in a technical report titled"NI 43‑101 Technical Report, Mineral Resource Estimate for the Shaakichiuwaanaan Project, James Bay Region, Quebec, Canada"by Todd McCracken, P.Geo., of BBA Inc., and Ryan Cunningham, M.Eng., P.Eng., of Primero Group Americas Inc., Effective Date of June 20, 2025, and Issue Date of August 28, 2025.
|
Section 2 – Reporting of Exploration Results
Criteria | JORC Code explanation | Commentary |
Mineral tenement and land tenure status |
- Type, reference name/number, location and ownership including agreements or material issues with third parties such as joint ventures, partnerships, overriding royalties, native title interests, historical sites, wilderness or national park and environmental settings.
- The security of the tenure held at the time of reporting along with any known impediments to obtaining a licence to operate in the area.
|
- The Shaakichiuwaanaan Property (formerly called"Corvette") is comprised of 463 CDC claims located in the James Bay Region of Quebec, with Lithium Innova Inc. (wholly owned subsidiary of PMET Resources Inc.) being the registered title holder for all of the claims. The northern border of the Property's primary claim block is located within approximately 6 km to the south of the Trans-Taiga Road and powerline infrastructure corridor. The CV5 Spodumene Pegmatite is accessible year-round by all-season road is situated approximately 13.5 km south of the regional and all‑weather Trans-Taiga Road and powerline infrastructure. The CV13 and CV9 spodumene pegmatites are located approximately 3 km west-southwest and 14 km west of CV5, respectively.
- The Company holds 100% interest in the Property subject to various royalty obligations depending on original acquisition agreements. DG Resources Management holds a 2% NSR (no buyback) on 76 claims, D.B.A. Canadian Mining House holds a 2% NSR on 50 claims (half buyback for $2M), OR Royalties holds a sliding scale NSR of 1.5-3.5% on precious metals, and 2% on all other products, over 111 claims, and Azimut Exploration holds 2% NSR on 39 claims.
- The Property does not overlap any atypically sensitive environmental areas or parks, or historical sites to the knowledge of the Company. There are no known hinderances to operating at the Property, apart from the goose harvesting season (typically mid-April to mid-May) where the communities request helicopter flying not be completed, and potentially wildfires depending on the season, scale, and location.
- Claim expiry dates range from January 2026 to November 2027.
|
Exploration done by other parties |
- Acknowledgment and appraisal of exploration by other parties.
|
- No previous exploration targeting caesium mineralization has been conducted by other parties at the Project.
- For a summary of previous exploration undertaken by other parties at the Project, please refer to the most recent technical report titled"NI 43‑101 Technical Report, Mineral Resource Estimate for the Shaakichiuwaanaan Project, James Bay Region, Quebec, Canada"by Todd McCracken, P.Geo., of BBA Inc., and Ryan Cunningham, M.Eng., P.Eng., of Primero Group Americas Inc., Effective Date of June 20, 2025, and Issue Date of August 28, 2025.
|
Geology |
- Deposit type, geological setting and style of mineralization.
|
- The Property overlies a large portion of the Lac Guyer Greenstone Belt, considered part of the larger La Grande River Greenstone Belt and is dominated by volcanic rocks metamorphosed to amphibolite facies. The claim block is dominantly host to rocks of the Guyer Group (amphibolite, iron formation, intermediate to mafic volcanics, peridotite, pyroxenite, komatiite, as well as felsic volcanics). The amphibolite rocks that trend east-west (generally steeply south dipping) through this region are bordered to the north by the Magin Formation (conglomerate and wacke) and to the south by an assemblage of tonalite, granodiorite, and diorite, in addition to metasediments of the Marbot Group (conglomerate, wacke). Several regional-scale Proterozoic gabbroic dykes also cut through portions of the Property (Lac Spirt Dykes, Senneterre Dykes).
- The geological setting is prospective for gold, silver, base metals, platinum group elements, and lithium over several different deposit styles including orogenic gold (Au), volcanogenic massive sulfide (Cu, Au, Ag), komatiite-ultramafic (Au, Ag, PGE, Ni, Cu, Co), and pegmatite (Li, Cs, Ta).
- Exploration of the Property has outlined three primary mineral exploration trends crossing dominantly east-west over large portions of the Property – Golden Trend (gold), Maven Trend (copper, gold, silver), and CV Trend (lithium, caesium, tantalum). The CV5 and CV13 spodumene pegmatites are situated within the CV Trend.
- Lithium-caesium-tantalum ("LCT") mineralization at the Property, including at CV5, CV13, and CV9, is observed to occur within quartz-feldspar pegmatite, which may be exposed at surface as high relief'whale-back'landforms. The pegmatite is often very coarse-grained and off-white in appearance, with darker sections commonly composed of mica and smoky quartz, and occasional tourmaline.
- The pegmatites at Shaakichiuwaanaan are categorized as LCT Pegmatites. Core assays and ongoing mineralogical studies, coupled with field mineral identification and assays confirm spodumene as the dominant lithium-bearing mineral on the Property, with no significant petalite, lepidolite, lithium-phosphate minerals, or apatite present. The spodumene crystal size of the pegmatites is typically decimetre scale, and therefore, very large. The pegmatites also carry significant tantalum (tantalite) and caesium (pollucite).
|
Drill hole Information |
- A summary of all information material to the understanding of the exploration results including a tabulation of the following information for all Material drill holes:
- easting and northing of the drill hole collar
- elevation or RL (Reduced Level – elevation above sea level in metres) of the drill hole collar
- dip and azimuth of the hole
- down hole length and interception depth
- hole length.
- If the exclusion of this information is justified on the basis that the information is not Material and this exclusion does not detract from the understanding of the report, the Competent Person should clearly explain why this is the case.
|
- N/A. No drill results reported.
|
Data aggregation methods |
- In reporting Exploration Results, weighting averaging techniques, maximum and/or minimum grade truncations (eg cutting of high grades) and cut-off grades are usually Material and should be stated.
- Where aggregate intercepts incorporate short lengths of high grade results and longer lengths of low grade results, the procedure used for such aggregation should be stated and some typical examples of such aggregations should be shown in detail.
- The assumptions used for any reporting of metal equivalent values should be clearly stated.
|
- N/A. No drill results reported.
|
Relationship between mineralization widths and intercept lengths |
- These relationships are particularly important in the reporting of Exploration Results.
- If the geometry of the mineralization with respect to the drill hole angle is known, its nature should be reported.
- If it is not known and only the down hole lengths are reported, there should be a clear statement to this effect (eg'down hole length, true width not known').
|
- N/A. No drill results reported.
|
Diagrams |
- Appropriate maps and sections (with scales) and tabulations of intercepts should be included for any significant discovery being reported. These should include, but not be limited to a plan view of drill hole collar locations and appropriate sectional views.
|
- Please refer to the figures included herein as well as those posted on the Company's website.
|
Balanced reporting |
- Where comprehensive reporting of all Exploration Results is not practicable, representative reporting of both low and high grades and/or widths should be practiced to avoid misleading reporting of Exploration Results.
|
|
Other substantive exploration data |
- Other exploration data, if meaningful and material, should be reported including (but not limited to): geological observations; geophysical survey results; geochemical survey results; bulk samples – size and method of treatment; metallurgical test results; bulk density, groundwater, geotechnical and rock characteristics; potential deleterious or contaminating substances.
|
- The Company is currently completing site environmental work over the CV5 and CV13 pegmatite area. No endangered flora or fauna have been documented over the Property to date, and several sites have been identified as potentially suitable for mine infrastructure.
- The Company has completed a bathymetric survey over the shallow glacial lake which overlies a portion of the CV5 Spodumene Pegmatite. The lake depth ranges from<2 m to approximately 18 m, although the majority of the CV5 Spodumene Pegmatite, as delineated to date, is overlain by typically<2 to 10 m of water.
- The Company has completed significant metallurgical testing comprised of HLS and magnetic testing, which has produced 6+% Li2O spodumene concentrates at>70% recovery on both CV5 and CV13 pegmatite material. A DMS test on CV5 Pegmatite material returned a Subsequent and more expansive DMS pilot programs completed, including with non-pegmatite dilution, produced results in line with prior testwork, confirming a DMS-only flowsheet is applicable. The Company has also produced a marketable lithium hydroxide concentrate from CV5's spodumene concentrate.
- The Company has produced marketable tantalite concentrates at bench-scale from the CV5 Pegmatite's DMS (spodumene) tailings fractions. The testwork used gravity or gravity + flotation methods to produce tantalite concentrates grading 8.7% Ta2O5at 45% global recovery (MC001) and 6.6% Ta2O5at 49% global recovery (MC002).
- The Company has produced marketable pollucite concentrates at bench-scale from the CV13 Pegmatite's Vega Caesium Zone. The testwork used XRT ore sorting to produce concentrates of 11.5% Cs2O and 20.0% Cs2O at an overall 88% recovery.
- Various mandates required for advancing the Project towards economic studies have been initiated, including but not limited to, environmental baseline, metallurgy, geomechanics, hydrogeology, hydrology, stakeholder engagement, geochemical characterization, as well as transportation and logistical studies.
|
Further work |
- The nature and scale of planned further work (eg tests for lateral extensions or depth extensions or large-scale step-out drilling).
- Diagrams clearly highlighting the areas of possible extensions, including the main geological interpretations and future drilling areas, provided this information is not commercially sensitive.
|
- The Company intends to continue drilling the pegmatites of the Shaakichiuwaanaan Property, primarily targetting lithium, caesium, and tantalum as the primary commodities of interest.
- Metallurgical test programs evaluating the recovery of lithium, caesium, and tantalum are ongoing.
|

CONTACT: Olivier Caza-Lapointe, Head, Investor Relations, T: +1 (514) 913-5264, E:ocazalapointe@pmet.ca
Photo - https://mma.prnewswire.com/media/2791959/PMET_Resources_Inc__High_Recovery_Caesium_Concentrate_Produced_f.jpg
Photo -https://mma.prnewswire.com/media/2791960/PMET_Resources_Inc__High_Recovery_Caesium_Concentrate_Produced_f.jpg
Photo -https://mma.prnewswire.com/media/2791961/PMET_Resources_Inc__High_Recovery_Caesium_Concentrate_Produced_f.jpg
Photo -https://mma.prnewswire.com/media/2791962/PMET_Resources_Inc__High_Recovery_Caesium_Concentrate_Produced_f.jpg
Photo -https://mma.prnewswire.com/media/2791963/PMET_Resources_Inc__High_Recovery_Caesium_Concentrate_Produced_f.jpg
Photo -https://mma.prnewswire.com/media/2791964/PMET_Resources_Inc__High_Recovery_Caesium_Concentrate_Produced_f.jpg
Photo -https://mma.prnewswire.com/media/2791965/PMET_Resources_Inc__High_Recovery_Caesium_Concentrate_Produced_f.jpg
Logo -https://mma.prnewswire.com/media/2791952/PMET_Resources_Inc__High_Recovery_Caesium_Concentrate_Produced_f.jpg
View original content to download multimedia:https://www.prnewswire.com/apac/news-releases/high-recovery-caesium-concentrate-produced-from-latest-metallurgical-testwork-at-shaakichiuwaanaan-302579038.html
SOURCE PMET Resources Inc.